√8天堂资源地址中文在线,天堂草原电视剧在线观看,らだ天堂√在线中文WWW,在线天堂8,天堂√最新版中文在线

186 6511 0000

無塵車間風管分段漏風檢測方法

發布時間:2020-04-28
已有 10446 家企業看過

       風管是無塵車間內部用作空氣輸送和分布的管道系統,在無塵車間內,風管的作用是非常大的,因此安裝人員在安裝完風管之后,需要對風管進行分段漏風檢測,目的是檢測風管有無泄漏情況。有些朋友可能還不懂得如何對風管進行漏風量檢測,下面由合景凈化給大家分享無塵車間風管分段漏風檢測方法。


       風管分段漏風檢測方法如下:


       一、檢測裝置


       風管漏風量檢驗裝置可按下圖如圖所示。


       有壓氣源:額定壓力:超過2000Pa;


                        額定流量:超過被測系統最大容許漏風量。


       壓力表:量程0~2000Pa;精確度相當于或高過百分之零點四(滿量程)。


       流量計:浮子流量計,精確度相當于或高過5%(滿量程)。


實驗裝置原理圖


       二、檢測方法


       (1)漏風檢驗時必須讓風管維持以下檢驗壓力:總管(與機組的連接管)取1500Pa;干管(總管與支管的連接管)取1000Pa;支管取700Pa(與送風設備的連接管)。或使用工作壓力。


       (2)檢驗方法步驟可按以下幾點開展:


       1.檢驗前要依據設計構思最大允許漏風量采用合適的轉子流量計,轉子流量計應采用兩個或兩個以上并聯,并采用同樣規格型號的轉子流量計,并聯轉子流量計的總測量范圍應高過最大允許漏風量20%。當轉子流量計的讀值都為零時,關閉一個轉子流量計,假如其他轉子流量計的讀值仍為零,再關閉一個流量計,直到只剩一個流量計仍為零時,則認為該管段合格達標,漏風量的測算可按所用沒關轉子流量計最小刻度的5倍測算。應多次重復以上操作,精確測量的次數應不少于兩次。


       2.每裝好一段風管(可以含一節或一節以上管道和一個或幾個部件),先在室內地坪用盲板堵住所檢驗風管的兩頭開口,將檢驗設備的出氣管與風管的盲板接口連接(此盲板有接口)。運用有壓氣源向試驗風管內鼓風,調整有壓氣源后節流閥的開度使壓力表的讀值穩定后開展讀值,同時記錄實驗壓力。


       3.試驗壓力讀值穩定指的是壓力表的讀值的波動范疇在試驗壓力的正負百分之五的范圍內。


       4.測完后就可以將該段(組)風管兩頭的盲板拆卸后吊裝,吊裝后用膜封住端口,再在室內地坪組裝另一段(組)風管并開展精確測量。


       三、管段漏風量計算


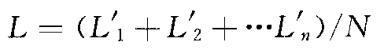
       1.管段漏風量應用下面方式計算:


管段漏風量計算方式


       式中:L—該精確測量管段漏風量(m3/h);


       L'?...L'n—該管段每次精確測量的各轉子流量計的讀數;


       N—精確測量次數。


       單位總面積漏風量=L/F


       式中:F—該段風管展開面積,㎡


       2.總漏風率應按下式計算:


       2.1、計算總漏風量∑L:

3

       式中:L?...Li—各管段漏風量(m3/h)。


       2.2、計算總漏風率ε:

4

       式中:Q—系統設計風量(m3/h)。


       關于風管分段漏風檢測方法已講解給大家知道,如果你對這些凈化工程知識了解得不多的話,一定要關注合景凈化,每周定期更新不同的凈化工程知識給您。如果您了解這些凈化工程知識是想做無塵車間施工工程的話,選擇合景凈化吧!


       合景凈化是一家專業從事廠房車間凈化的施工公司,公司有十多年的凈化工程經驗,目前在精密電子、生物制藥、食品日化、光電光學、新能源、醫療衛生等行業中建設了無數經典凈化工程案例,還獲得客戶的一致高度認可。十級、百級、千級、萬級、十萬級、三十萬級無塵凈化車間的設計、施工請搜索合景凈化直達公司網站了解更多。